RPACT
Home
Services
Products
About
Blog
Jobs
Contact
My Account
Gallery
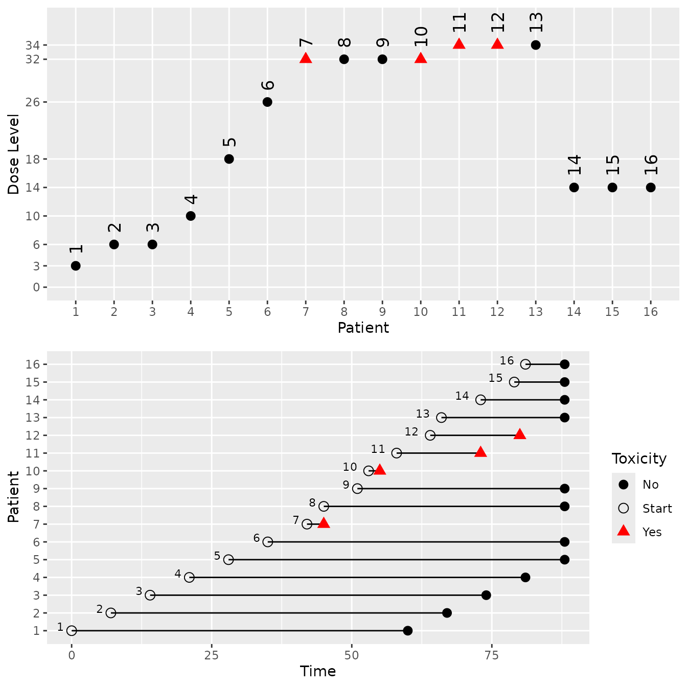
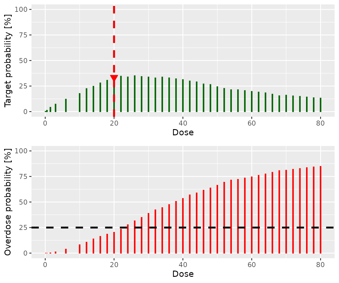
High quality graphics produced by crmPack